Indexed by CSTPCD
Scopus

Petroleum Science Bulletin ›› 2025, Vol. 10 ›› Issue (3): 460-477. doi: 10.3969/j.issn.2096-1693.2025.01.013

Previous Articles     Next Articles

Hydrocarbon evolution of the Cambrian Qiongzhusi shale in the Zizhong- Weiyuan Region, Sichuan Basin

LI Hai1(), ZHAO Wentao1, LIU Wenlei1, LI Qixin1, TANG Zijun2,3, FAN Qingqing2,3, LIU Dadong2,3,*(), ZHAO Shuai2,3, JIANG Zhenxue2,3, TANG Xianglu2,3   

  1. 1 Shu’nan Gas-mine Field, Southwest Oil & Gas Field Branch Company of PetroChina, Luzhou 646000, China
    2 State Key Laboratory of Petroleum Resources and Engineering, China University of Petroleum, Beijing 102249, China
    3 Unconventional Petroleum Research Institute, China University of Petroleum, Beijing 102249, China
  • Received:2025-02-20 Revised:2025-04-27 Online:2025-06-15 Published:2025-07-30
  • Contact: LIU Dadong E-mail:li_hai@petrochina.com.cn;liudd@dgqinyehang.com

四川盆地资中—威远地区下寒武统筇竹寺组页岩气成藏演化过程

李海1(), 赵文韬1, 刘文磊1, 李其鑫1, 唐梓俊2,3, 范青青2,3, 刘达东2,3,*(), 赵帅2,3, 姜振学2,3, 唐相路2,3   

  1. 1 中国石油西南油气田分公司蜀南气矿,泸州 646000
    2 中国免费靠逼视频(北京)油气资源与工程全国重点实验室,北京 102249
    3 中国免费靠逼视频(北京)非常规油气科学技术研究院,北京 102249
  • 通讯作者: 刘达东 E-mail:li_hai@petrochina.com.cn;liudd@dgqinyehang.com
  • 作者简介:李海(1978年-),高级工程师,主要从事石油与天然气开发研究与技术管理工作,li_hai@petrochina.com.cn
  • 基金资助:
    国家自然科学基金(42472185);中国石油西南油气田分公司蜀南气矿科研项目(XNS-蜀南矿JS2023-539);中国石油西南油气田分公司开发事业部科研项目(2024D104-01-07)

Abstract:

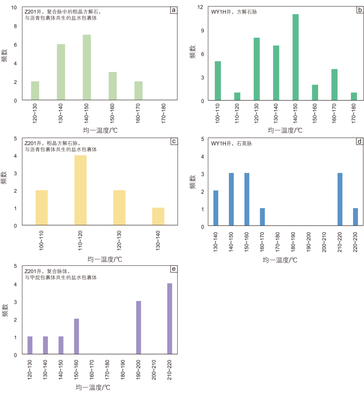
The Lower Cambrian Qiongzhusi Formation in the Sichuan Basin exhibits significant shale gas resource potential, with major exploration breakthroughs achieved in the Deyang-Anyue rift sag. However, the complex hydrocarbon accumulation processes under multi-phase tectonic activities have constrained the optimization of shale gas enrichment zones and efficient exploration and development. This study focuses on typical Qiongzhusi Formation shale gas reservoirs in the Zizhong-Weiyuan area of the Deyang-Anyue Rift Sag. Through petrographic observations of fracture veins, fluid inclusion thermometry, laser Raman analysis, and basin modeling, the evolutionary processes and differences in shale gas accumulation in the Zizhong-Weiyuan area were elucidated. Results reveal three distinct stages of fracture vein development in the Cambrian Qiongzhusi shale: Stage I veins formed during the late Caledonian movement (ca.420~405 Ma), containing abundant primary bitumen inclusions indicative of peak oil generation; Stage II veins developed during the Indosinian movement (ca.235~215 Ma), characterized by both primary bitumen and methane inclusions reflecting high-to-over mature shale conditions; Stage III veins formed during the Yanshanian-Himalayan reservoir preservation and adjustment stage, predominantly hosting primary methane inclusions. The Weiyuan and Zizhong areas exhibit vein formation during the Late Cretaceous (ca.75~60 Ma) and Eocene (ca.45~35 Ma), respectively. This may due to that the Weiyuan area is situated in the aulacogen margin, whereas the Zizhong area is located in the inner zone of aulacogen. Therefore, the Weiyuan area began to uplift ~10 Ma before the Zizhong area during the Yanshannian orogeny. Additionally, the Zizhong area benefits from superior basal sealing by the Maidiping Formation, forming an effective gas containment system. Its location on the intra-sag slope belt features less developed faults and fractures compared to the Weiyuan anticlinal region. These combined factors contribute to the overall superior gas-bearing characteristics of the Qiongzhusi Formation in the intra-sag Zizhong area relative to the sag-margin Weiyuan area.

Key words: Sichuan Basin, Deyang-Anyue rift trough, fluid inclusions, shale gas, accumulation evolution, Qiongzhusi Formation

摘要:

四川盆地下寒武统筇竹寺组页岩气资源潜力大,在德阳—安岳裂陷槽取得了巨大勘探突破。然而,多期构造背景下,页岩气成藏过程复杂,制约了页岩气富集区带优选和高效勘探开发。本论文以德阳—安岳裂陷槽资中—威远地区筇竹寺组典型页岩气藏为研究对象,通过裂缝脉体岩相学观察、流体包裹体测温、激光拉曼分析和盆地模拟等方法,明确了资中—威远地区筇竹寺组页岩气成藏演化过程及其差异。研究结果表明,资中—威远地区寒武系筇竹寺组页岩主要发育三期裂缝脉体,第Ⅰ期脉体形成于加里东运动晚期(ca.420~405 Ma),脉体中捕获了大量原生沥青包裹体,表明该时期处于生油高峰阶段;第Ⅱ期脉体形成于印支运动时期(ca.235~215 Ma),脉体中捕获了原生沥青包裹体和原生甲烷包裹体,表明该时期页岩处于高—过成熟阶段;第Ⅲ期脉体形成于燕山—喜山期气藏保存调整阶段,脉体中含大量原生甲烷包裹体。威远和资中地区脉体分别形成于晚白垩世(ca.75~60 Ma)和始新世(ca.45~35 Ma)。威远地区处于裂陷槽缘,燕山期抬升较槽内资中地区要早约10 Ma,故脉体形成时间更早。同时,槽内资中地区较槽缘威远地区发育更好的底板地层(麦地坪组),形成良好的气体封存箱。另外,资中地区位于槽内斜坡带,其断层和裂缝发育程度较威远背斜地区要较弱。多种因素共同导致了槽内资中地区较槽缘威远地区筇竹寺组整体含气性更好。

关键词: 四川盆地, 德阳—安岳裂陷槽, 流体包裹体, 页岩气, 成藏演化, 筇竹寺组

CLC Number: